作者简介:朱凤梅,中国社会科学院工业经济研究所副研究员,中国社会科学院大学硕士生导师;何庆红,中国社会科学院经济研究所助理研究员;王震,中国社会科学院经济研究所公共经济学研究室主任、研究员,中国社会科学院大学经济学院教授、研究生导师
文献来源:《管理世界》2025年第10期
摘要:提高基层医疗“健康守门人”的能力,更好地为人民服务,是紧密型县域医共体建设的重要战略目标。本文利用2018~2022年某省4地32个县超3000万条城乡居民医保患者就诊全样本数据,构建交错双重差分模型,系统评估县域医共体建设的政策影响及作用机制。研究发现,加入县域医共体建设试点后,县域内门诊慢特病患者次均医疗费总额显著下降,县级医院门诊服务量和住院天数显著下降,基层医院门诊慢特病人数和住院人次显著上升。进一步分析发现,县域医共体建设优化了医保支付结构,县级医院门诊慢特病医保支付显著下降,基层医院普通门诊和普通住院医保支付显著上升,但没有影响县域医疗服务质量。机制分析表明,县域医共体主要通过控制参保人就诊率、减少分解治疗、更加重视居民健康体检实现了上述政策效果。本文全面检验了县域医共体建设的政策预期,为县域医共体政策设计的进一步完善提供了重要启示。
关键词:县域医共体;总额预算付费;次均医疗费;分级诊疗;资源配置
一、引言
新医改以来,我国全民医疗保障体系加快建立健全,医疗服务体系整体绩效不断改善,但基层医疗服务能力长期薄弱,医疗资源配置失衡,已成为保障人民健康和深化医改的重要制约。要解决这个问题,医疗保险(以下简称“医保”)支付模式需要创新,医疗服务体系本身也需要变革,以提高医疗资源配置效率,实现“大病不出省,一般病在市县解决,日常疾病在基层解决”。对此,2019年5月国家卫生健康委(以下简称“国家卫健委”)与国家中医药管理局发布《关于推进紧密型县域医疗卫生共同体建设的通知》(国卫基层函〔2019〕121号),提出在全国遴选一批试点县开展紧密型县域医疗卫生共同体(以下简称“县域医共体”)建设。经过多年试点,2023年12月国家卫生健康委等十部门联合印发《关于全面推进紧密型县域医疗卫生共同体建设的指导意见》(国卫基层发〔2023〕41号),要求各地全面推开县域医共体建设,管理模式上逐步实现行政、人事、财务、业务、用药、信息、后勤等统一管理,医保支付上实行医保基金总额付费。简而言之,县域医共体的政策目标是重构县域医疗组织模式,将全县所有公立医疗机构组织成一家或多家“医疗集团”,由医疗集团发挥“医疗”和“医保”双重职能,主导县域医共体内医疗资源配置和医保基金使用,以实现资源下沉和患者有序就医。
这种医疗组织模式上的垂直整合,是自20世纪80年代以来医学模式从“疾病为中心”转向“健康为中心”的一个表现。例如,美国私人健康保险公司推行的健康维护组织(Health Maintenance Organization,HMO)以及《平价医疗法案》推出的责任医疗组织(Accountable Care Organization,ACO)也是某种形式上的医疗共同体,其组织逻辑是建立全科医生的守门人机制,以及全科与专科服务之间的协作网络,从而形成全科—专科合理分工、协作的机制,向患者提供连续性的医疗服务。背后的经济激励是,医疗共同体只要做好被保险人的预防保健,特别是做好慢性病管理(伯恩斯、保利,2012),降低其发生重大疾病的风险,减少不必要的医疗支出,就能获得较高的医保结余。因此,从政策目标上看,我国县域医共体与国际上医疗共同体类似。不同点在于,我国县域医共体建设多是政府主导的结果。县域医共体建设的实际效果如何,目前尚缺乏实证证据支持。
本文以M省为研究对象,以正在推进县域医共体建设的A、B两市的试点县作为政策组,以尚未推进县域医共体建设的C、D两市的非试点县作为控制组,利用这4地共32个县2018~2022年城乡居民基本医疗保险患者就诊全样本数据,评估县域医共体建设效果。在就诊类型上,本文主要关注县域医共体建设对本地参保患者普通门诊、门诊慢特病和普通住院的影响:一方面,普通门诊、门诊慢特病和普通住院是县域内参保患者的主要就诊类型,就诊人次占比合计达86.2%,留在县域医共体内就诊的人次占比分别达97.4%、94.7%和67.3%;另一方面,急慢分治、预防为主是县域医共体建设的目标之一,也是形成全科—专科合理分工、协作的关键,重点分析县域医共体建设对门诊慢特病的影响,有助于我们更全面的评估县域医共体建设的效果。
本文有以下三方面研究发现。第一,相比较普通门诊和普通住院,县域医共体建设对门诊慢特病的效果更为明显,一方面,门诊慢特病次均医疗费总额、次均统筹基金支出显著下降;另一方面,县级医院门诊慢特病就诊人次显著下降,基层医院门诊慢特病就诊人数有所上升。第二,县域医共体优化了医保支付结构,县级医院门诊慢特病医保支付显著下降,基层医院普通门诊和普通住院医保支付显著上升,但县域医共体建设没有影响县域医疗服务质量。第三,县域医共体转变了诊疗行为,通过控制参保人就诊率、减少分解治疗、重视健康体检等方式实现了上述政策效果。
本文可能的贡献和创新主要体现在以下几个方面。第一,本文创新性地利用某省县域医共体医保总额付费政策试点创造的研究机会,结合实地调研获取的一手资料,构建交错双重差分(Staggered Differences-in-Differ⁃ences,Staggered DID)模型,较早地检验了我国行政主导下的县域医共体建设的政策效果,为进一步完善和推进县域医共体建设提供了依据。第二,本文着重探讨了县域医共体发挥政策效果的内在机理和影响机制,对政策可能带来的影响进行了全面评估。第三,本文关于县域医共体建设效果的研究发现丰富了现有文献。从政策含义来看,县域医共体建设起到了规范诊疗行为、引导资源配置、节约医保基金的作用。但从整体改革实效看,患者个人负担没有显著变化,这为县域医共体建设的完善提供了政策启示。
下文的结构安排如下:第二部分介绍制度背景、相关文献和理论假说;第三部分为研究设计与样本选择;第四部分报告实证结果;第五部分为影响机制探讨;第六部分给出主要结论及政策建议。
二、制度背景、文献综述与理论假说
(一)制度背景
党中央、国务院历来高度重视基层医疗卫生工作。新医改以来,各级政府在医疗服务体系建设和医疗保障等方面投入了大量的资源,从2009年至2022年,仅财政投入就高达16.9万亿元。其中很大部分投入到基层医疗机构建设,包括恢复事业单位编制制度、实施收支两条线、药品零差率销售、家庭医生签约服务等,意在强基层以建立分级诊疗体系。但这些海量经费并没有发挥应有的作用,一方面公立医院规模不断扩张,产生对患者的虹吸(周魅等,2021),另一方面由于基层医院服务质量偏低,提高报销比例也难以留住患者(李海明、徐颢毓,2018)。基层医疗卫生服务能力不断弱化、患者持续涌入大医院的趋势并未得到逆转。根据国家卫生健康委公布的统计数据,2010年全国还有30.4%的门急诊服务和29.2%的住院服务需求在基层社区和卫生院解决,到2022年这一比例分别下降到22.5%、14.6%。这种“医院强、基层弱”的发展趋势,与我国新时代强调以人民健康为中心、不断提高基层防病治病和健康管理能力的发展要求有一定差距。
在此背景下,2017年国务院办公厅发布《关于推进医疗联合体建设和发展的指导意见》(国办发〔2017〕32号),要求各地探索多种形式的医联体组织模式,如城市医疗集团、县域医共体、跨区域专科联盟、远程医疗协作网,旨在通过资源共享,提升基层医疗服务能力和水平。这一政策实施后,以城市医疗集团为代表的松散型医联体组织模式迅速发展,短期来看,城市医联体在促进分级诊疗上取得了一定的成效(封进等,2022)。但限于我国行政分级管理和“分灶吃饭”的格局难以突破,不同等级医疗机构利益难以协调,使得医联体的政策目标在短期内难以达成,甚至导致基层医院的全科业务专科化,背离了建立全科—专科分工协作机制的初衷。
不同于松散型医联体,县域医共体更加强调人财物的统一管理和医保基金的总额打包支付。从各地试点情况看(郁建兴等,2020;徐烨云、郁建兴,2020;朱静敏、段晖,2021),县域医共体打包支付额度来源于县域内当年的基金收入。这一激励类似于美国HMO的按人头付费(萨克斯,2018),即无论参保人享受何种医疗服务,参保人缴纳的平均保费是固定的,从而保费总额也是固定的,保费总额交由县域医共体包干使用、结余留用,实现了保险和医疗服务有效衔接。从理论上讲,这种支付激励的转变解决了委托人与代理人之间的信息不对称问题,实现了“激励相容”(黄严、张璐莹,2019),能促使县域医共体转变诊疗行为,减少医疗消费,降低医疗成本(王磊、黄严,2021),进而改善医疗资源配置状况。
(二)文献综述
关于医疗机构垂直整合方面的文献主要集中在美国。其背景是20世纪80年代美国医疗保险(Medicare)推行的医保预付制改革,由于医保预付制主要针对医院,护理机构仍按成本进行支付,为应对价格竞争,大量医院开始垂直整合护理机构,以此分流患者、节约成本、提高收入,后来逐渐延伸到医院与家庭照护机构、医院与私人诊所之间的垂直整合,其特点是资产的统一管理、医保的“打包支付”和“结余共享”。纵观现有文献,结合本文研究目的,可以从以下3个方面予以总结。
一是对医疗支出效果的研究。大部分文献持负面看法,认为医疗机构整合导致医疗价格上涨(何、汉密尔顿,2000;克里希南,2001;科赫等,2017),医疗支出没有下降,相反还有所上升(达根、海福德,2013)。少数文献认为对医疗支出有积极作用,降低了医疗支出(威克斯等,2010)。
二是对医疗机构诊疗行为的研究。有研究发现,医疗机构的垂直整合提高了医疗机构内部转诊概率(卡特勒等,2020)。一方面,医院能及时将出院患者转诊到服务成本更低的护理机构和家庭照护机构(戴维等,2013)。另一方面,专科医院还倾向将那些“利润高”且较健康的患者虹吸上来(巴罗等,2006)。还有研究指出,垂直整合对缩短住院时间(拉赫曼等,2016)、减少就诊次数(陈等,2009)等也起到了正面的影响。
三是对疾病治疗效果的研究。有证据表明,医共体总额付费对诸如糖尿病、高血压等慢性病的治疗效果更好(索尔伯格等,2009)。早期美国的一项全国性管理式医疗组织调查结果显示,管理式医疗组织选择与初级保健医生建立风险分担机制的占比高达84%(戈尔德等,1995)。
综上,以美国为主的医疗机构间的垂直整合,通过“医”“保”一体化管理,对医疗支出和医疗机构诊疗行为产生了较大影响。主要发现是,垂直整合没有降低医疗支出,但垂直整合提高了机构间的双向转诊量。我国县域医共体建设的目标也是让整个医共体成为一个利益共同体(顾昕,2019)。与之最大的不同在于,我国县域内医疗机构间的垂直整合是政府主导的结果,且以公立医疗机构为主。目前国内实证文献对医疗支出和医疗机构的诊疗行为产生什么影响以及能否达到政策预期效果的研究较为缺乏。如封进等(2022)对我国城市医联体建设进行评估,但无法直接用于评判县域医共体的效果。本文以M省为研究对象,根据其县域医共体建设试点情况,构建出政策组与控制组,利用超3000万条医保结算全样本数据进行分析,以期为县域医共体建设的全面推开提供有价值的政策启示。
(三)理论假说
医疗领域中广泛存在着多任务委托代理关系,这一点早已成为共识。其中,如何设计最优支付,解决医保与医疗服务提供者之间的委托代理问题,受到理论研究者的关注(马、麦圭尔,1997)。一般来说,医保部门希望通过控制支付来激励医疗机构提供成本效益高的医疗服务,而医疗机构可能更倾向于提供更多或更昂贵的服务以增加收入。两者目标的不一致,在我国医疗市场中突出表现为不同等级医疗机构服务的同质化,以及高等级医院对基层医院患者的虹吸(叶、萧,2014),进而导致医疗费用的不合理增长。鉴于信息不对称和医保治理能力不足,医保部门难以有效监管和控制(刘军强等,2015)。
目前关于需方成本分担和供方成本分担的制度设计,在控费、合理诊疗等方面的效果都有限。需方成本分担机制面临风险分散和适当激励间的权衡困境(泽克豪泽,1970),即保障水平越高,患者自付越低,道德风险带来的效率损失就越大。尽管供方相比单个患者承担风险的能力更强,供方成本分担机制下更容易实现激励相容(埃利斯、麦圭尔,1993),但也会产生扭曲效应。以我国医疗市场为背景,干春晖等(2007)研究了垄断竞争市场中的供给诱导需求及其决定因素,提出需改变按服务付费的支付方式。刘小鲁(2014)讨论了总额预付制对过度医疗的影响,发现总额预付制限制供方过度医疗的效果有限,且总额预付制强化了医生推诿患者,或诱导患者使用自费医疗项目的现象。朱凤梅(2023)评估了按病组付费(Diagnosis Related Groups,DRG)或按病种分值付费(Diagnosis-Intervention Packet,DIP)支付改革的效果,发现DRG/DIP会导致患者年住院次数的上升。那么,如何设计合理的支付激励以平衡各方利益,杜创(2017)认为无论是预付制还是后付制,最优价格管制都应保证医院获得正利润。此外,还有学者提出须同时引入供方需方两个控制费用的主体,以医保部门充当二者行为的协调者(姚宇,2014)。
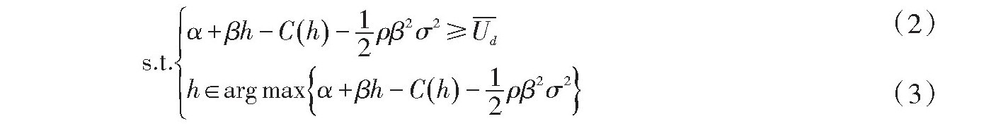
县域医共体建设是将参保人(患者)、医疗服务提供者、医保支付者三方同时引入医保支付设计中的一种尝试(如图1所示)。根据委托代理理论,医保支付要对县域医共体形成激励相容的制度安排,至少需要满足两个约束条件:一是参与约束,即委托人(医保部门)提供的期望收入不低于代理人(医共体)不参加时的保留收入;二是激励相容约束,即委托人(医保部门)不能观察到代理人(医共体)的行为和自然状态,代理人总是选择使自己期望效用最大化的行为,因此,委托人希望代理人达到的任何行为,都只能通过代理人的效用最大化行为来实现。
我们考虑一个简单的委托代理模型。假设只有一个委托人(医保部门)和一个代理人(医共体),医保部门是风险中性者,医共体是风险规避者,并给出以下基本假定:(1)医共体的治疗效果(π)与其努力程度(h)正相关:π=h+θ,θ为外生随机变量(自然状态),θ~N(0,σ2),那么,Eπ=h,varπ=σ2。(2)医共体的收益S(π)是治疗效果的线性函数:S(π)=α+βπ+ε,ε~N(0,σ2),β为激励系数,反映医共体努力产出下获得的收益比例或结余留用比例。医共体的效用函数设定为u(x)=-e-ρx,ρ为医共体的风险偏好系数,ρ>0。(3)医共体的努力成本C(h)=h2/2,具有性质C(h)'>0,C(h)''>0。那么,医共体的实际收益p1=S(π)-C(h),医共体的确定性等值(等价收入)Ud=E(p1)-ρvar(p1)/2=α+βh-C(h)-ρβ2σ2/2。(4)医保部门的收益为p2=π-S(π),由于医保部门是风险中性的,那么,医保部门的期望效用等于期望收益,即EVg=E[π-S(π)]=-α+(1-β)h。
为达到医保部门期望效用最大化目标,以及医共体期望收益不低于参加前的保留收益,医保部门与医共体的委托代理问题就可以描述为:
![]()

其中,式(2)为参与约束条件,式(3)为激励相容约束条件。对式(3)中的h求导可得C(h)'=β,即医共体最优努力程度h*=β。
借鉴李富强和李斌(2003)的做法,根据库恩-塔克条件(Kuhn-Tucker)和约束条件式(2),上述委托代理问题可以转化为
,令λ=1,并对β求导,可得到最优激励系数β*=1/(1+σ2ρ)>0,即医共体的激励系数β与风险偏好系数ρ成反比。

图1理论分析框架
县域医共体建设有助于解决委托代理问题,进而改变原有的激励方向。首先,医共体打包支付总额来自县域内城乡居民医保基金收入(扣除大病保险基金、风险储备金等),每年相对固定且可预期,大于不实行打包支付时医疗机构能够获得的总额,满足参与约束条件。同时,医共体总额打包支付,还解决了公立医院公益性任务与经济任务的冲突问题,极大缓解了医疗机构的增收压力,避免了上下级医院间的过度竞争,提高了医疗机构参与医共体建设的积极性。其次,在医保“总额打包、结余留用”的机制作用下,医共体拥有剩余索取权和控制权。同时,由于县域内参保患者在一定条件下可以到医共体外就医,所产生的统筹基金从打包总额中支出,会激励医共体提高努力程度,满足激励相容约束条件。
基于上述分析,本文提出研究假说1。
假说1:由于激励系数β>0,β的高低取决于医共体的努力程度。因此,医共体选择使其期望效用最大化行为的同时,能够实现委托人的政策目标。
县域医共体建设的政策目标,一是将常见病、多发病留在县域内就诊,二是提高基层医疗服务能力,做好疾病防治和慢病管理,促进患者有序就医。而在医保总额打包支付的机制作用下,县域内参保居民不生病、少生病,省下的医保基金归医共体所有。参保居民一旦患病,治疗所需的医保报销部分,皆由医共体来承担。那么,医共体可能的行为有如下3点:一是减少不必要的治疗,降低医疗成本,增加结余空间;二是避免收治大量轻症患者,或将小病、常见病患者下沉到基层医院就诊,促进分级诊疗;三是重视健康管理,做到早发现、早诊断、早治疗。
基于上述分析,本文提出研究假说2和假说3。
假说2:医共体建设能降低县域内参保患者医疗费用。
假说3:医共体会减少县级医院的服务量,做好参保患者的健康管理。
三、研究设计与样本选择
(一)M省县域医共体建设情况介绍
截至2023年底,M省14个统筹区均开展了紧密型县域医共体建设试点(含国家试点)工作。M省县域医共体建设进程大致分为两个阶段。第一阶段,2018~2021年,在政府主导下,各地主要聚焦构建县域医共体内的医疗业务体系和公共卫生管理体系,为实现县域医共体实现人财物的统一打下基础。这一阶段并非仅针对国家试点县,也推广到了其他非国家试点县。第二阶段,根据各地县域医共体建设情况,M省医保局、财政厅、卫健委三部门于2021年11月联合发布《关于推进紧密型县域医疗卫生共同体实行基本医疗保险总额付费管理的通知》,决定对县域医共体实行基本医疗保险总额付费管理,并要求各地2021年底前报送实施总额付费管理的医共体试点名单。
由于县域医共体建设进度不同,各地医保总额付费试点情况存在差异。2018~2022年间,14个地市级统筹区中有8个开展了县域医共体总额付费试点,5个尚未开展,1个情况不详。同时,开展试点的8个地区试点情况也不尽相同,有的还在同步推进DRG或DIP改革(参见《管理世界》网络发行版附录A附表A1)。为准确评估县域医共体建设效果,本文尽可能的排除DRG或DIP改革的影响。
(二)样本选择与数据来源
根据本文研究目的,结合M省各地实际情况,我们最终选择仅开展县域医共体总额付费试点且试点方案相近的A市、B市作为政策组,选择尚未开展县域医共体总额付费试点,也未开展医保支付方式改革的C市、D市作为控制组。其中,A市县域医共体建设分两批进行,2021年1月1日选择1个县作为试点县,2022年1月1日将试点范围覆盖到其他6个县。B市于2022年1月1日选择2个县作为试点县,其他9个县在本文研究时段内尚未纳入进来,具体见表1。
本文使用的数据有两个来源:一是M省城乡居民基本医疗保险参保人员信息库;二是M省2018~2022年参保患者就医结算数据库。参保人员信息库含有参保人信息(人员编号、年龄、性别、人员类别)、参保日期、参保地医保区划(医保区划具体到县级,下同)、所在统筹区等;结算数据库含有患者参保信息(人员编号、年龄、性别、民族、单位类型、灵活就业标志、参保地医保区划)、医疗类别(普通住院、普通门诊、门诊慢特病等)、定点医药机构信息(定点医药机构编号、机构名称、医院等级、机构归属医保区划)、患者就诊日期、患者疾病信息、医疗费用总额、统筹基金支出等,参保患者的每一次就诊结算产生一条观测值。
表1样本地县域医共体总额付费试点基本情况

注:A市和B市试点县中均含有1个国家级试点县。资料来源:作者根据各地政策文件及实际执行情况自行整理而来。
为满足研究需要,本文作如下数据处理。第一,仅保留4地的全样本数据。第二,对定点医药机构归属医保区划信息、定点医药机构等级等信息有误的样本进行更正处理。第三,对医疗费用小于零以及个人信息缺失的样本进行删除处理。第四,对入院日期和出院日期不在研究时间段的样本进行删除处理。第五,为剔除4地2022年11月份开始启动的DRG付费改革因素影响,对2022年11~12月份的参保患者就诊信息进行删除处理。第六,根据参保人员信息库,整理出2018~2022年4地各县域参保人数,并与医保结算数据库进行匹配。最后共得到参保患者就诊结算记录30758696条。
(三)政策组与控制组比较
1. 基本情况比较
政策组与控制组的社会经济状况差异不大。从地理位置上看,C市、D市与A市、B市相毗邻,均位于M省的西北部。从经济发展上看,4地均非省会城市,且在经济条件、产业结构以及产业政策等方面较为相似。根据M省2021年统计年鉴,A市、B市人均GDP分别为5.2万元、4.6万元,C市、D市略高,分别为6.7万元和8.6万元。从医疗资源丰富程度看,政策组与控制组相当。A市、B市每十万人口卫生技术人员数分别为7.1人、6.1人,C市、D市的分别为6.3人、7.6人;A市、B市每十万人口执业(助理)医师数分别为2.9人、2.2人,C市、D市的分别为2.4人、2.9人。
政策组的医保基金当期结余状况与控制组基本一致。理论上,医保基金结余状况较差的地区,更有积极性先行试点县域医共体总额付费,但实际情况并非如此。首先,县域医共体建设涉及多方利益,需要县委、县政府协调推动,市级医保部门很难直接主导县域医共体建设进度,也就很难直接决定总额付费试点县。此外,如前文所述,由于政策协同性不足,部分市级医保部门可能没有积极性来推进县域医共体总额付费试点。其次,M省在确定成为国家试点省份后,并没有单兵突进,在每个统筹区都至少确立了一个国家级试点县,旨在“以点带面”推动全省县域医共体建设。从各地情况看,开展县域医共体总额付费试点的统筹区,国家非试点县与试点县在时间上也无较大差异。例如,B市的国家非试点县与试点县同时推开。最后,从医保基金结余状况看,政策组的情况并不算差。2018~2022年间,政策组仅A市出现过当期收不抵支,而控制组的C市、D市均出现过当期收不抵支(参见《管理世界》网络发行版附录B附图B1)。2022年A市、B市当期结余可支配月数分别为0.7个月、1.3个月,高于C市、D市的0.01个月、0个月。
政策组的参保年龄结构与控制组基本一致。本文统计了4地的参保年龄结构,60岁以上为一组,60岁以下每隔10岁为一组。结果显示,控制组的参保人口老龄化程度更高,60岁以上参保人口占比超过15%,而政策组不到12%。在51~60岁组,控制组比政策组约高6个百分点,在41~50岁组,控制组与政策组占比接近(参见《管理世界》网络发行版附录B附表B1)。
2. 试点县与非试点县政策比较
试点县县域医共体由当地县医院(县人民医院或县中医医院)作为牵头总医院⑩,县域内其他基层医院(乡镇卫生院、社区卫生服务中心、村卫生室)作为成员单位共同组建。其中,县医院兼具卫健和医保部门赋予的政治地位,主导着医共体内医保基金的分配,充当着资源配置者的角色。而患者方的待遇水平几乎不受县域医共体建设的影响,仍按原报销政策执行。
在本文研究时段内,4地均已实现城乡居民医保的市级统筹,接下来主要比较试点县与非试点县所在市级统筹区政策情况。
A市和B市县域医共体建设试点政策一致。在医共体管理上,都实施“五统一”政策11,在医保支付上均采取总额付费管理。具体来说,每年年初由各县(市)医疗保障部门对县域内城乡居民基本医疗保险基金年内发生的医保基金支出,事先核定总额预算额度,打包给各医共体,由医共体统筹使用。在总额预算的确定上,按当年城乡居民基本医保基金缴费所属年度标准作为筹资总额(即参保人数乘以人均筹资额),筹资总额的10%留作风险基金。预算总额用于支付县域内参保人员当年门诊、住院、县域外就医(不含大病保险)等符合规定的医疗费用12,将医共体作为一个整体预算单位,不再细分到医共体各成员单位。那么,医共体内预算资金额度主要在3个主体之间分配:牵头医院、成员单位和体外协议医疗机构,用于支付协议医疗机构门诊、慢性病、住院等居民医保报销费用。
结余的留用资金由医共体牵头医院根据考核结果合理分配和使用。如A地规定,结余资金由牵头医院、乡镇卫生院、村卫生室按6∶3∶1比例分配,并由牵头医院直接拨付至医共体内各医疗卫生机构。相较而言,尽管C、D两市与A、B两市接壤,但其对各县域医疗机构,特别是县级医院和乡镇卫生院/社区卫生服务中心的支付,仍以按项目付费为主。因此,总额打包支付和按项目付费这两种截然不同的支付机制,必然导致医疗机构和医生不同的行为选择。
A市和B市参保人员待遇保障水平与C市和D市相差不大。首先,4地普通门诊保障水平总体不高,一是各地都取消了门诊起付线;二是A市不区分医疗机构级别,报销比例统一设定在85%,其他三市村级报销比例都在80%及以上,乡级报销比例方面C市最低,相比村级下降20个百分点;三是各地都采取单次限额与年度限额相结合的政策,从限额水平看,单次在25元~50元,年度在300元~800元(参见《管理世界》网络发行版附录B附表B2)。
其次,尽管门诊慢特病各地待遇保障水平有一定差距,但门诊慢特病病种保障范围基本类似,其中B市最多有21种,A市最少也有15种。同时各地均根据病情严重程度,将门诊慢特病分为两类,其中第二类门诊慢特病基本是肾功能衰竭透析、器官移植后的抗排异治疗、苯丙酮尿症、非肿瘤儿童血液病等这类门诊大病,报销额度相比一类慢特病显著提高(参见《管理世界》网络发行版附录B附表B3)。
最后,4地住院保障水平差距不大,起付线根据医疗机构级别分别设定在100元~1000元不等,其中乡镇卫生院起付线为100元左右,省级医院起付线为1000元左右。报销比例乡镇卫生院最高为90%,省级医院最低为50%。封顶线是当地2022年人均可支配收入的3倍以上。
3. 试点县医共体实践
为了解县域医共体的实际运作,我们还实地走访了部分县域医共体内部医疗机构:牵头医院、乡镇卫生院和村卫生室,以及其他利益相关者,如医保行政部门、病患家庭等。访谈以A市和B市为主,共计访谈市级医保行政部门管理人员12人、县域医共体牵头医院管理人员4人、医生(含村医)8人、病人3人。本文不对访谈机构和访谈对象的详细情况进行介绍,并对提及的访谈人员作匿名处理。
根据实地调研,研究发现:各地均按要求开展了县域医共体试点工作,部分医保部门为降低监管成本,减轻基金支出压力,明确支持县域医共体总额付费;县域医共体内部更加强调慢病管理和基层医院的医疗服务供给、强化服务共同体和利益共同体建设;乡镇卫生院开始寻求服务模式转变;部分村卫生室设有专人提供慢病管理服务。
第一,被访谈地区均开展了县域医共体总额付费试点工作。如B市b县医共体由2家县级公立医院与6家乡镇卫生院及39家村卫生室共同组建,实施总额付费管理。改革目标是防控医保基金风险,建立以医保支付方式为基础的激励机制。
“我们这里外出就医人员较多,他们不去省会城市,大多都直奔北京、上海这些大城市,对我们医保基金支出造成较大压力。紧密型县域医共体这项政策我们医保局是支持的,把医保总额直接打包给医共体总院,参保患者异地就医费用直接从医共体总额里扣除,也倒逼本地医疗机构提高医疗服务能力和医疗技术水平,留住患者。”(MAa20230921YBJ)
但对于本地治疗不了的疾病,县域医共体也会及时将患者转外就医。
“我妈妈今年70多岁,在县医院查出来了结肠癌,给治疗了一段时间,后来推荐我们去北京治疗,走的跨省异地就医报销。”(MAa20230921ASZ)
第二,县域医共体管理上实施“五统一”。即县域医共体内成员单位和牵头医院在人员管理、财务管理、信息系统、医保结算、考核监管上的统一。如B市b县依托现有医共体信息平台,实现了医共体内医疗就诊系统互联互通、数据共享、影像结果互通互认。此外,医共体内部能够为患者提供远程医疗服务,提高了优质医疗资源可及性以及医疗服务的连续性和协同性。但由于管理体系上的差异,县域医共体建设还存在一些问题。一位牵头总院的管理人员表示,县域医共体建设市县两级政府都比较重视,但牵头总院与乡镇卫生院等成员单位的性质不同,很难实现财务上的真正统一,目前采取“集中办公、分账管理”的模式运行,即乡镇卫生院的财务人员到县医院集中办公。
第三,县域医共体慢病管理与基层医疗服务能力提升。我们走访的一家县域医共体,专门在总院设有慢病管理中心,指导全县域慢病管理工作,同时在各乡镇卫生院设有健康体检中心。为促进优质医疗资源下沉,提升基层医疗服务能力,有的依托医共体总院在基层医院开设联合病房,有的由医共体总院派遣内、外、妇科等医疗专家长期到基层坐诊、带教,有的部分乡镇卫生院副院长由总医院副院长担任,轮流派医务人员到总医院学习。
“我们作为医共体总院,对县域内慢性病患者进行统一管理,首先患者要先到我们总院这里建档,只有经过我们检查确认为慢性病的,比如糖尿病、高血压等,才能享受门诊报销。然后,总院利用医共体信息平台将慢病患者信息推送给基层机构的家庭医生团队,由家庭医生团队做好慢病管理,并实时上传数据,每位慢病患者的信息我们这里都掌握。同时,总院也会派医生加入家庭医生团队,开展定期上门服务。”(MBb20230919FKS)
此外,在乡镇卫生院开设中医馆也已成为提升基层医疗服务能力的普遍做法。我们实地走访的一家乡镇卫生院,中医治疗已成为全院主要业务之一,中医馆经营效益甚至超过其他科室。
“我们的中医馆主推中医特色治疗,主要开展针灸、推拿、穴位贴敷、中药足浴等,由于价格便宜,一次仅十元、二十元,医保还有报销,深受老百姓好评,特别是农忙后,中药足浴的需求特别大。”(MAc20230918TSL)
(四)模型设定与变量描述
基于前文分析,本文以县域医共体建设试点作为政策性准自然实验,从实证角度考察和验证县域医共体建设试点的政策效果。具体而言,以2018~2022年间M省开展县域医共体建设的9个试点县为政策组,以尚未开展县域医共体建设的23个县为控制组,评估县域医共体建设对参保人群医疗费用和医疗服务利用的影响。考虑到试点县开展时间并非完全一致,本文采用交错双重差分法(Staggered DID)进行评估,模型设定如下:
![]()
其中,i、j、t分别表示患者个体、患者参保地(县级)、时间。Yijt表示医疗费用、医保统筹基金支付、个人自付金额等被解释变量。POLijt为核心解释变量,当j县在t时为县域医共体建设试点县,则POLijt在时间t及以后取值为1,否则为0。X'it表示一系列控制变量,主要包括患者年龄、是否灵活就业(是=1,否=0)、所在单位类型等个人特征变量。θi表示患者个体固定效应。Γt表示年度—季度固定效应,以捕捉年份与季度两个层面的时间效应。εijt为随机扰动项,标准误聚类在县域层面。根据研究目的和研究需要,后文以医疗机构和县域作为观测值时,除了控制年度—季度固定效应,还分别控制了医院层面和县域层面的固定效应,控制变量分别为各医院就诊患者的平均年龄和各县就诊患者的平均年龄,标准误聚类在县域层面。
从主要变量的描述性统计结果看(参见《管理世界》网络发行版附录B附表B4),首先,试点县参保患者普通门诊次均医疗费、次均统筹基金支出、个人自付金额高于非试点县,分别高16.4元、3.3元、13.1元。其次,与普通门诊相反,试点县参保患者门诊慢特病次均医疗费、次均统筹基金支出、个人自付金额低于非试点县,分别低107.5元、26元、81.5元。最后,试点县参保患者普通住院次均医疗费、次均统筹基金支出、个人自付金额也低于非试点县,分别低621.5元、116.1元、509.0元。这表明,县域医共体建设可能会对不同参保患者、不同就诊类别产生不同影响。从就诊人次看,试点县普通门诊、门诊慢特病和普通住院县域医共体内就诊人次占比,分别高达97.4%、94.7%和67.3%,高于非试点县的97%、79.6%和61.7%。
此外,从患者个体特征看,试点县患者平均年龄小于非试点县。试点县患者登记为灵活就业人员的比例为0.03%,非试点县为0.14%。试点县和非试点县患者单位类型登记为“其他”(基本为务农)的比例均最高,分别达80.1%、79.3%,登记为“个体工商户”的分别为0.4%、1.0%,登记为“社会团体”的分别为3.4%、1.2%。
四、实证结果
(一)主要发现
1. 对参保患者就医费用的影响
表2给出了县域医共体建设对本地参保患者就医费用(普通门诊费用、门诊慢特病费用和普通住院费用)的影响。可以看出,加入县域医共体建设试点后,本地参保患者普通门诊和普通住院就医费用没有显著变化,仅门诊慢特病就医费用显著下降。平均而言,相较非试点县,试点县门诊慢特病次均医疗费总额下降10.4%(=e0.099-1),次均统筹基金支出下降18.4%(=e0.169-1),患者个人自付金额没有发生显著变化。这说明县域医共体建设带来的医疗支出下降,更多的节约了医保基金,但没有惠及患者。
2. 对参保患者就医流向的影响
表3给出了县域医共体建设对本地参保患者县域内外就医流向的影响。结果显示,加入县域医共体建设试点后,本地参保患者县域内外普通门诊、门诊慢特病和住院次数均没有发生显著变化。这也从侧面说明,上述门诊慢特病次均医疗费总额以及次均统筹基金支出的下降,不是县域医共体分解就诊次数的结果。
表4给出了县域医共体建设对本地参保患者省内异地和跨省异地就医流向的影响。结果显示,加入县域医共体建设试点后,本地参保患者普通门诊跨省异地就医次数上升41.3%(=e0.346-1),而参保患者门诊慢特病异地就医次数和住院异地就医次数没有显著变化。需要说明的是,M省2018~2022年4地32个县的参保人员没有发生门诊慢特病的跨省异地就医,可能的原因有两个:一是该省尚未开通门诊慢特病跨省异地就医直接结算,导致门诊慢特病患者都在省内就医;
表2县域医共体建设对参保患者就诊费用的影响

注:(1)本表以参保患者为观测对象;(2)被解释变量为参保患者按年度—季度加总计算的结果,控制了患者固定效应、年度—季度固定效应和患者个人特征变量,*、**、***分别表示10%、5%、1%的显著性水平,括号内为聚类在县域层面的稳健性标准误,下同。
表3县域医共体建设对参保患者县域内外就医流向的影响

注:本表以参保患者为观测对象。
表4县域医共体建设对参保患者异地就医流向的影响

注:本表以参保患者为观测对象。
二是即使有部分门诊慢特病患者跨省异地就医,但采取的是全自费形式,导致医保结算数据库没有这部分患者就诊信息。
3. 对县域内医疗机构服务量的影响
为检验县域医共体建设对医共体内医疗机构服务量的影响,以此反映县域医共体建设对分级诊疗的影响,本文利用各县域内以县人民医院、县中医医院为龙头医院,以乡镇(中心)卫生院/社区卫生服务中心、村卫生室为成员单位的患者就诊样本,从医疗机构的视角考察县域医共体建设的效果。
表5给出了县域医共体建设对县级医院(主要包括县人民医院、县中医医院等二级医院,下同)和基层医院(主要包括乡镇卫生院/社区卫生服务中心、村卫生室等一级及以下机构,下同)服务量的影响。结果显示,加入县域医共体建设试点后,县级医院普通门诊就诊人数和就诊人次显著下降,门诊慢特病就诊人次和普通住院平均住院天数也显著下降。基层医院门诊服务量没有显著变化,但门诊慢特病就诊人数、普通住院就诊人次显著上升。
表5Panel A给出了县级医院服务量的结果。相较非试点县,试点县县级医院普通门诊就诊人数和就诊人次下降在2倍左右,门诊慢特病就诊人次下降65.9%(=e0.506-1),住院天数平均缩短约2.5天。
表5Panel B给出了基层医院服务量的结果。相较非试点县,试点县基层医院门诊慢特病就诊人数增长11.2%(=e0.106-1),普通住院就诊人次增长59.2%(=e0.465-1)。
上述结果表明,县域医共体建设对普通门诊和普通住院的分级诊疗效果不明显,相反,却带来了基层医院门诊慢特病就诊人数的上升。本文认为,基层医院这些下沉的门诊慢特病患者可能是县级医院减少的门诊慢特病就诊人次导致的。
(二)平行趋势检验
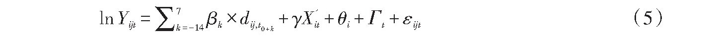
使用交错双重差分法的前提条件是符合“共同趋势假设”,即在县域医共体建设试点之前,政策组与控制组在次均医疗费总额、就诊人数、就诊人次等被解释变量lnYijt上的变动趋势大致是趋同的。对此,本文采用事件分析法进行检验,并设定如下检验模型:
![]()
其中,dij,t0+k是一个虚拟变量,k为政策开始的相对时间(用季度衡量),即样本所在时间与政策实施时间之差。根据各地县域医共体建设试点时间,对试点前缩尾两期后,k实际取值在[-14,7],t0表示县域j加入县域医共体建设试点的当期,t0+k表示县域j加入县域医共体建设试点的第k季度。本研究关心的系数βk,衡量的是县域j加入县域医共体建设试点之前14期(k取值[-14,-1])以及加入县域医共体建设试点之后7期(k取值[0,7])的政策效果,举例来说,当k=0时,β0表示政策试点当期的政策效果。研究以政策实施前一季度(k取值-1)为参照组进行回归分析,在控制固定效应和其他变量后,如果βk在k<0时不显著,说明满足平行趋势假设,反之,则不满足。另外,与式(4)一致,标准误聚类在县域层面。
平行趋势检验结果显示,县域医共体建设试点之前,本地参保患者不同医疗类别(普通门诊、门诊慢特病、普通住院)的次均就医费用,以及县级医院普通门诊就诊人数、就诊人次等的估计系数均不显著,且波动趋势不明显,这表明政策组和控制组在县域医共体建设试点之前不存在显著差异,满足共同趋势假设。而县域医共体建设试点之后,例如本地患者门诊慢特病的次均医疗费总额的估计系数,以及县级医院普通门诊就诊人数和就诊人次的估计系数均表现出显著下降趋势(参见《管理世界》网络发行版附录C附图C1~附图C4)。
表5县域医共体建设对县域内医疗机构服务量的影响

注:(1)本表以医疗机构为观测对象;(2)被解释变量为医疗机构按年度—季度加总计算的结果,控制了医疗机构固定效应、年度—季度固定效应和患者个人特征变量,患者年龄为各医院就诊患者的平均年龄,*、**、***分别表示10%、5%、1%的显著性水平,括号内为聚类在县域层面的稳健性标准误,下同。
(三)稳健性检验
1. 异质性—稳健估计量
已有文献讨论了交错双重差分估计在双向固定效应(Two-Way Fixed Effect Estimator,TWFE)下存在偏误的问题(贝克等,2022),即TWFE回归的处理效应在不同处理组间或不同处理时间下存在异质性,较早接受处理的样本会成为较晚处理样本的控制组,导致“坏的控制组”问题。本文采用更加稳健的插补估计量(博鲁萨克等,2024)进行稳健性检验。其基本思路是,利用从未接受处理的样本或尚未接受处理的样本估计出每个处理组个体每个时期的反事实结果,以此计算处理组个体的处理效应,将个体层面的处理效应进行加总,即得到平均处理效应的估计。相较其他方法,这一估计量的效率更高(刘冲等,2022)。
本文以门诊慢特病次均医疗费总额和次均统筹基金支出,以及县级医院普通门诊就诊量为例。结果发现,在采用更稳健的估计量后县域医共体建设仍然显著降低了门诊慢特病次均医疗支出和县级医院普通门诊服务量(参见《管理世界》网络发行版附录C附图C5)。
2. 排除可能的“溢出效应”
考虑到同一统筹区内与试点县相近的非试点县可能受到政策“溢出效应”的影响,即县域医共体建设可能会限制患者就医选择,导致试点县参保人到非试点县参保或就医,由此高估了试点的影响。为此,本文结合B市的实际情况,将与试点县相毗邻的4个非试点县从控制组中剔除,重新检验县域医共体建设的政策效果。并以参保患者就诊费用和医疗机构服务量为例进行说明,结果依然稳健(参见《管理世界》网络发行版附录C附表C1和附表C2)。
(四)异质性分析
本文对门诊慢特病不同人群、不同病种情况进行分组回归分析。
1. 不同人群的差异
分组回归结果显示,不同门诊慢特病人群均受到县域医共体建设的影响(参见《管理世界》网络发行版附录C附表C3)。平均而言,相对非试点县,试点县居民(老年)患者次均医疗费总额下降9.7%(=e0.093-1),次均统筹基金支出下降18.8%(=e0.172-1)。一方面,居民(老年)患者作为慢特病管理的主要对象,治疗多以吃药为主,诊疗流程标准化,对医疗技术水平的要求也不高,在基层也能解决;另一方面,这也说明门诊慢特病可能更适合总额打包付费。居民(成年)患者次均医疗费总额下降7.8%(=e0.075-1),次均统筹基金支出下降11.2%(=e0.106-1)。居民(未成年)患者次均医疗费总额未发生显著变化。
2. 不同病种的差异
本文根据各地门诊慢特病病种名单,结合数据库中医疗类别为“门诊慢特病”的患者样本,将门诊慢特病区分为一类慢特病和二类慢特病。
分组回归结果显示,县域医共体建设对不同门诊慢特病类型的影响有所不同,一类慢特病的次均医疗费总额、次均统筹基金支付、次均个人自付金额均显著下降,二类慢特病的次均统筹基金支付和就诊次数显著下降(参见《管理世界》网络发行版附录C附表C4)。平均而言,相较非试点县,试点县一类慢特病次均医疗费总额下降9.7%(=e0.093-1),次均统筹基金支出下降14.2%(=e0.133-1),次均个人自付金额下降9.6%(=e0.092-1)。可以看出,加入县域医共体建设试点后,本地参保患者一类慢特病次均医疗费总额和个人自付负担同步减轻。二类慢特病次均统筹基金支付下降37.7%(=e0.320-1)。原因可能在于,二类慢特病待遇保障程度相比一类慢特病更高,大幅减少这类慢特病的统筹基金支付,县域医共体内结余留用的医保基金更多。
(五)进一步讨论
1. 对医保资源配置的影响
表6给出了县域医共体建设对县域医保基金支出总量和支出结构的影响。结果显示,县域医共体建设降低了县域医保基金支出总量。从支出结构看,主要是降低了门诊慢特病和普通住院的医保基金支出额。平均而言,相较非试点县,试点县医保统筹基金总支出下降16.8%(=e0.155-1),其中门诊慢特病统筹基金支出下降49.2%(=e0.400-1),普通住院统筹基金支出下降18.1%(=e0.166-1)。这表明,县域医共体医保结余留用机制是一项强激励,有助于节约县域医保基金。
进一步分析发现,县域医共体主要是降低了县级医院门诊慢特病统筹基金支出,提高了基层医院普通门诊和普通住院的统筹基金支出(如表7所示)。具体而言,相较非试点县,试点县县级医院门诊慢特病统筹基金支出下降82.2%(=e0.603-1),而基层医院普通门诊和普通住院统筹基金支出分别上升26.6%(=e0.236-1)、65.9%(=e0.506-1)。这些结果表明,县域医共体发挥了引导资源配置的作用,优化了医保支付结构,将更多医保资源倾斜到基层医院医疗服务供给上。
2. 对医院服务质量的影响
本文参考国家卫健委《三级医院评审标准(2020版)》中的医院质量指标“住院患者出院后0~31天非预期再住院率”,分析县域医共体建设对医院服务质量的影响。再住院率也是国际普遍使用的医院服务质量指标。根据研究目的,研究使用全因再住院率,即不区分住院病种。计算方法为,在某一时间段内(本文为季度),同一住院患者出院后在规定时间内再次入院的人数与出院总人数之比。
表8给出了县域医共体建设对医疗服务质量的影响。表中列(1)为县域层面的回归结果,反映各县出院患者(利用患者个人编号和参保所属医保区划识别)的再入院率情况。表中列(2)为县域内医疗机构层面的回归结果,反映同一家医疗机构出院患者(利用患者个人编号和定点医药机构编号识别)的再入院率情况。结果显示,县域医共体建设对县域参保患者和县域内医疗机构31天内再入院率均没有显著影响,这也说明县域医共体建设没有导致医疗服务质量的变化。
五、影响机制探讨
实证结果表明,县域医共体建设有减少县级医院门诊量、缩短住院天数、下沉门诊慢特病患者基层就诊,以及引导资源配置的政策效果。为进一步考察县域医共体建设发挥这一作用的机制,结合假说1和假说3,我们尝试从县域医共体诊疗行为转变的视角进行探讨。总的来看,可能的影响途径包括控制就诊率、减少分解治疗、重视健康管理。
(一)控制就诊率
研究用不同医疗类别的就诊人数(本文为季度层面的就诊人数)除以各县总参保人数乘以100,得到普通门诊就诊率、门诊慢特病就诊率和住院率。结果显示,加入县域医共体建设试点后,参保人员普通门诊就诊率显著下降,门诊慢特病就诊率、住院率显著上升(参见《管理世界》网络发行版附录D附表D1)。平均而言,相较非试点县,试点县参保人员普通门诊就诊率下降1.061个百分点,门诊慢特病就诊率上升0.047个百分点,住院率上升0.131个百分点。
进一步分析发现,参保人员在县域医共体内外的就诊率存在差异。加入县域医共体建设试点后,参保人员县域医共体内普通门诊就诊率显著下降0.802个百分点,门诊慢特病就诊率显著上升0.043个百分点,住院率没有显著变化。参保人员县域医共体外门诊慢特病就诊率显著上升0.01个百分点,住院率显著上升0.077个百分点,普通门诊就诊率没有显著变化。这解释了县域医共体建设对降低县级医院门诊服务量、提高基层医院门诊慢特病人数的政策效果。
表6县域医共体建设对县域医保支出总量和支出结构的影响

注:(1)本表以县域为观测对象;(2)被解释变量为县域按年度—季度加总计算的结果,控制了县域固定效应、年度—季度固定效应和患者个人特征变量,患者年龄为各县就诊患者的平均年龄,*、**、***分别表示10%、5%、1%的显著性水平,括号内为聚类在县域层面的稳健性标准误,下同。
表7县域医共体建设对医共体医保支出结构的影响

注:本表以医疗机构为观测对象。
表8县域医共体建设对医疗服务质量(31天再入院率)的影响

注:表中县域层面以县域为观测对象,县域医疗机构层面以医疗机构为观测值。
其中的原因是,普通门诊主要在乡村两级医疗卫生体系网络报销,仅A市在县乡村三级医疗卫生体系网络报销,在普通门诊医保基金打包给县域医共体的情况下,县域医共体有积极性控制本地参保人员的普通门诊就诊率,减少普通门诊就诊人数和就诊次数,进而节约医保基金支出。门诊慢特病需要长期吃药和治疗,县域医共体提高这部分患者的就诊率,也从侧面反映了县域医共体对慢病管理的重视。
(二)减少分解治疗
县域医共体建设试点之前,医保对县域内医疗机构的支付多采取按项目付费或单次限额支付(如普通门诊),县域内医疗机构的最优行动是,尽可能做大单个患者的就诊次数或分解治疗,获取更多的医保基金支付,直观的结果是人次人头比(期内诊疗人次/期内诊疗人头数)的上升。根据原国家卫生和计划生育委员会等五部门于2015年联合发布的《关于印发控制公立医院医疗费用不合理增长的若干意见的通知》(国卫体改发〔2015〕89号),人次人头比是反映医院分解治疗的主要指标,也是公立医院医疗费用控制的主要监测指标之一。本文统计发现,以2020年为例,政策组普通门诊、门诊慢特病和普通住院的人次人头比(本文为季度层面的人次人头比)分别为2.0、1.8和1.2,控制组分别为1.8、1.8和1.1。总的来看,政策组与控制组相差不大。县域医共体建设试点之后,医保基金采取总额打包支付,分解治疗意味着医疗成本的上升和医保基金结余留用空间的缩小。因此,县域医共体有动力规范诊疗行为,节约医保基金。
县域医共体建设对县域内医疗机构人次人头比的回归结果显示,加入县域医共体建设试点后,医共体内门诊慢特病的人次人头比显著下降(参见《管理世界》网络发行版附录D附表D2)。平均而言,相比较非试点县,试点县门诊慢特病人次人头比下降22.2%。分医院级别看,县级医院普通门诊和门诊慢特病人次人头比分别显著下降41.7%、57.5%。基层医院门诊慢特病人次人头比显著下降18.1%。
(三)重视健康管理
理论上讲,在医保总额打包支付和结余留用机制作用下,县域医共体被激励做好健康管理,以实现县域内参保人少生病、不生病,继而少看病、不看病。我们在实地调研中也发现,县域医共体确实高度重视健康管理工作,实施了包括健康体检、健康教育、慢病防控、健康干预等在内的一系列措施。其中,健康体检是健康管理的关键环节,如有的县域医共体统筹县乡村三级医疗资源,利用县级医院的先进设备和医疗技术开展居民健康体检活动,摸清居民健康状况,并将筛查出的慢病患者纳入医共体慢病管理系统,指导基层医院和村卫生室做好慢病管理和上门随访服务,做到早发现、早干预、早治疗。结合数据的可得性,本文使用健康体检作为健康管理的代理变量进行分析。
县域医共体建设对县域内医疗机构健康体检的回归结果显示,加入县域医共体建设试点后,县级医院体检人数和体检人次显著上升,基层医院没有显著变化(参见《管理世界》网络发行版附录D附表D3)。平均而言,相比较非试点县,试点县县级医院体检人次和体检人数增加2倍多。这与我们实地调研的基本情况相符,这也体现了县域医共体的优势。
六、主要结论与政策讨论
县域医共体建设的本意是通过支付激励的转变,实现分级诊疗、提高基层防病治病和健康管理能力,最终形成乡镇、社区全科服务与县级医院专科服务之间的合理分工与协作。为检验这一政策效果,本文使用M省4地32个县2018~2022年城乡居民基本医保结算数据,将其中9个试点县作为政策组,23个非试点县作为控制组,利用多维面板固定效应模型做交错双重差分分析。研究发现,加入县域医共体建设试点后,县域内门诊慢特病患者次均医疗费总额显著下降,但患者个人负担没有减轻;普通门诊和普通住院患者次均医疗费总额无明显变化;县级医院普通门诊服务量、门诊慢特病就诊人次和住院天数显著减少;基层医院门诊慢特病就诊人数和普通住院人次显著上升。进一步分析发现,县域医共体建设优化了医保支付结构,节约了医保基金,一方面降低了县级医院门诊慢特病支付总额,另一方面提高了基层医院普通门诊和普通住院医保支付总额,但没有影响医疗服务质量。机制分析表明,县域医共体通过控制参保人就诊率、减少分解治疗、更加重视居民健康体检实现了上述政策效果。本文研究结论支持县域医共体规范诊疗行为、优化资源配置、节约医保基金的积极作用。为进一步推动县域医共体建设,促进县域医共体高质量发展,提出如下政策建议。
第一,强化医保协同治理,扩大改革受益面。本文研究表明,加入县域医共体试点后,县域内参保患者个人负担并未减轻,机制分析发现参保人员住院率还有所上升。在基层住院人次及其住院医保支付增加的情况下,可能有大量轻症患者住院。这意味着,县域医共体建设过程中,参保患者政策获得感不强。需要进一步发挥医保在医共体建设中的积极作用,推动县域医共体健康良性发展。一是做好DRG/DIP医保支付方式改革与县域医共体建设的政策衔接,降低住院患者医疗费用;二是完善医保报销政策,提高居民门诊保障水平,降低住院率;三是加强县域医共体服务数量和服务质量监管,做好患者满意度调查,防范供方道德风险。
第二,破除体制机制障碍,理顺县域医共体内部激励。本文研究发现,县域医共体建设将更多的门诊慢特病患者下沉到了基层医院,基层医院在县域内基本医疗服务供给中的作用不断凸显。但在我国县域内三级卫生服务网络治理体系下,可能出现“激励不相容”。现阶段,部分乡镇卫生院仍是公益一类事业单位,即使按照公益二类事业单位管理,在事业单位工资总额限制下,医保结余或增收部分也难以落到医生头上,存在“弱激励”问题。为提高改革的系统性和协同性,需要继续深化基层医疗机构改革,在医务人员薪酬方面落实“两个允许”,发挥基层医生的能动性和积极性,承接县级医院业务和下转患者。
第三,坚持以强基层为目标,提升基层常见病诊疗能力和健康管理能力。推进紧密型医联体建设是党的二十届三中全会提出的重大战略任务,是强化基层医疗卫生服务,为人民群众提供连续性健康服务的重大举措。为保证这一目标的实现,在推进县域医共体建设中,需要以强基层为目标,一是按照医疗卫生强基工程要求,改善基层设施设备条件,提高基层设备配置率和基层硬件水平;二是依托县域医共体建设平台,通过派驻专家、远程医疗指导等,以县带乡、以乡带村,提高基层常见病诊疗能力;三是按照基层医防融合的要求,融合开展基本公卫服务与基本医疗服务,不断提高基层健康管理能力,为健康中国建设和乡村振兴提供有力保障。